Am Neumarkt 😱
01:56 · Oct 4, 2020 · Sun
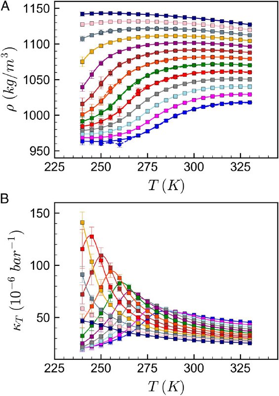
Signatures of a liquid–liquid transition in an ab initio deep neural network model for water | PNAS
https://www.pnas.org/content/early/2020/10/01/2015440117
PNAS
Signatures of a liquid–liquid transition in an ab initio deep neural network model for water
Water is central across much of the physical and biological sciences and exhibits physical properties that are qualitatively distinct from those of most other liquids. Understanding the microscopic basis of water’s peculiar properties remains an active area…
Home
Powered by
BroadcastChannel
&
Sepia