Machine learning and other gibberish
See also: https://sharing.leima.is
Archives: https://datumorphism.leima.is/amneumarkt/
See also: https://sharing.leima.is
Archives: https://datumorphism.leima.is/amneumarkt/
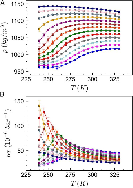
Signatures of a liquidâliquid transition in an ab initio deep neural network model for water | PNAS
https://www.pnas.org/content/early/2020/10/01/2015440117
https://www.pnas.org/content/early/2020/10/01/2015440117
Is this an angular momentum problem?
(Why didn't I continue with the experiment? I stepped on it and it shattered.......)
https://greenelab.github.io/scihub-manuscript/v/8fcd0cd665f6fb5f39bed7e26b940aa27d4770ba/
I am a lit bit scared whenever I think about how it accesses the papers. It is a black box and we have no idea if scihub is doing this in a way that is accepted by every researcher.
On the other hand, it is not easy to live without scihub. There are legal alternatives like unpaywall and kopernio but they are way behind the game.
What shall we do? Require the author of scihub to open source the code? Continue using a black box that may hurt other people? I don't know.
I am a lit bit scared whenever I think about how it accesses the papers. It is a black box and we have no idea if scihub is doing this in a way that is accepted by every researcher.
On the other hand, it is not easy to live without scihub. There are legal alternatives like unpaywall and kopernio but they are way behind the game.
What shall we do? Require the author of scihub to open source the code? Continue using a black box that may hurt other people? I don't know.
Hypergraph is a decentralized tool to help researchers manage their work. Everything in your research, from notes to data to publications to proposals , is linked together for better discovery and reproducibility.
https://stackoverflow.com/questions/16047306/how-is-docker-different-from-a-virtual-machine/36368012#36368012
"Docker for Mac uses https://github.com/moby/hyperkit to emulate the hypervisor capabilities and Hyperkit uses hypervisor.framework in its core. Hypervisor.framework is Mac's native hypervisor solution. Hyperkit also uses VPNKit and DataKit to namespace network and filesystem respectively."
hmmm I guess this is why docker on mac uses a lot of resources compared to its linux version
"Docker for Mac uses https://github.com/moby/hyperkit to emulate the hypervisor capabilities and Hyperkit uses hypervisor.framework in its core. Hypervisor.framework is Mac's native hypervisor solution. Hyperkit also uses VPNKit and DataKit to namespace network and filesystem respectively."
hmmm I guess this is why docker on mac uses a lot of resources compared to its linux version
TuSimple Hires Former FMCSA Official Jim Mullen
https://www.ttnews.com/articles/tusimple-hires-former-fmcsa-official-jim-mullen
https://www.ttnews.com/articles/tusimple-hires-former-fmcsa-official-jim-mullen
Gitter is joining Element
https://element.io/blog/gitter-is-joining-element/
https://element.io/blog/gitter-is-joining-element/
Synopsis: No Sterile Neutrinos from Eight Years of IceCube
http://link.aps.org/doi/10.1103/Physics.13.s126
http://link.aps.org/doi/10.1103/Physics.13.s126
Disney will lay off 28,000 theme park workers as the pandemic continues to ravage its business (DIS)
https://www.businessinsider.com/disney-layoffs-theme-parks-disneyland-disneyworld-2020-9
https://www.businessinsider.com/disney-layoffs-theme-parks-disneyland-disneyworld-2020-9
JupyterCon 2020 - Conference Schedule
https://cfp.jupytercon.com/2020/schedule/tutorial-sessions/
https://cfp.jupytercon.com/2020/schedule/tutorial-sessions/
Maternal microbes support fetal brain wiring
https://www.nature.com/articles/d41586-020-02657-y
https://www.nature.com/articles/d41586-020-02657-y
OpenAI Licenses GPT-3 Technology to Microsoft
https://openai.com/blog/openai-licenses-gpt-3-technology-to-microsoft/
https://openai.com/blog/openai-licenses-gpt-3-technology-to-microsoft/
Gangster capitalism and the American theft of Chinese innovation â TechCrunch
https://techcrunch.com/2020/09/20/gangster-capitalism-and-the-american-theft-of-chinese-innovation/
https://techcrunch.com/2020/09/20/gangster-capitalism-and-the-american-theft-of-chinese-innovation/
Nature Indexâs top five science cities, by the numbers
https://www.nature.com/articles/d41586-020-02576-y
https://www.nature.com/articles/d41586-020-02576-y
https://arxiv.org/abs/2005.12505
Very interesting research on voting mechanism. They built a theory to understand how the freemason member selection procedures shape the community. The Freemason only integrates a member if the member is accepted by all of the current members.
Very interesting research on voting mechanism. They built a theory to understand how the freemason member selection procedures shape the community. The Freemason only integrates a member if the member is accepted by all of the current members.
Topology of Deep Neural Networks
http://jmlr.org/papers/v21/20-345.html
http://jmlr.org/papers/v21/20-345.html